Hva skjer i frikonkurransemarkedet når det innføres stykkskatt?
Stykkskatt er et bestemt avgiftsbeløp som myndighetene kan innføre, som vil forstyrre frikonkurransemarkedet . Den vil påvirke markedet ved at
- Prisene øker
- Vi etterspør mindre
- Tilbudt mengde reduseres
- Myndighetene får inntekter
- Vi får et effektivitetstap
En stykkskatt medfører at det forekommer en differanse mellom kjøperpris og selgerpris. Kjøperpris er prisen konsumenten betaler for vare, og selgerpris er det produsenten får betalt for en vare etter at stykkskatten er trukket fra. Differansen mellom kjøper- og selgerprisen utgjør størrelsen på stykkskatten.
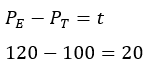
Stykkskatt = Kjøperpris – Selgerpris
Eksempel
I et frikonkurransemarked har vi følgende etterspørsel- og tilbudskurve.
Etterspørselskurve:

Tilbudskurve:

Anta at myndighetene innfører en stykkskatt, t, på 20 i markedet.
Vi finner likevekten i markedet der etterspørselskurven er lik tilbudskurven pluss stykkskatten. Deretter løser vi ligningen med hensyn på x.

Når det blir innført stykkskatt er likevektsmengden 40 enheter. For å finne kjøperprisen setter vi likevektsmengden inn i etterspørselskurven.

Kjøperprisen i markedet vil være 120. For å finne selgerprisen setter vi likevektsmengden inn i tilbudskurven.

Selgerprisen i markedet vil være 100. Dersom vi ser på differansen mellom kjøper- og selgerprisen, så ser vi se at dette vil utgjøre stykkskatten på 20.


Konsumentoverskudd ved stykkskatt
Konsumentoverskuddet i et frikonkurransemarkedet der myndighetene har innført stykkskatt finner vi ved differansen mellom konsumentens maksimale betalingsvillighet og kjøperprisen.
Eksempel
Vi fortsette å bruke eksempelet om frikonkurransemarkedet, der vi har følgende etterspørsel- og tilbudskurve.
Etterspørselskurve:

Tilbudskurve:

Anta at myndighetene innfører en stykkskatt, D, på 20 i markedet.
Vi vet fra tidligere at likevektsmengden er 40 enheter, kjøperprisen er 120 og selgerprisen er 100. For å finne konsumentoverskuddet bruker vi følgende formel:

Vi må også avgjøre hva den maksimale betalingsvilligheten er, noe vi finner der etterspørselskurven krysser y-aksen. I dette tilfeller er det der P=200. Vi kan dermed regne ut konsumentoverskuddet.


Produsentoverskudd ved stykkskatt
Produsentoverskuddet i et frikonkurransemarkedet der myndighetene har innført stykkskatt finner vi ved differansen mellom produsentens selgerpris og minste tilbyderpris.
Eksempel
Vi fortsetter å bruke eksempelet om frikonkurransemarkedet, der vi har følgende etterspørsel- og tilbudskurve.
Etterspørselskurve:

Tilbudskurve:

Anta at myndighetene innfører en stykkskatt, t, på 20 i markedet.
Vi vet fra tidligere at likevektsmengden er 40 enheter, kjøperprisen er 120 og selgerprisen er 100. For å finne produsentoverskuddet bruker vi følgende formel:

Vi må også avgjøre hva den miste tilbyderprisen er, noe vi finner der tilbudskurven krysser y-aksen. I dette tilfeller er det der P=20. Vi kan dermed regne ut produsentoverskuddet.


Samfunnsøkonomisk overskudd ved stykkskatt
Som vi har sett, vil det oppstå et konsument- og produsentoverskudd i likevekten, men det vil også oppnås skatteinntekter hos myndighetene. Skatteinntektene utgjør differensen mellom kjøperprisen og selgerprisen.
Vi benytter oss fortsatt av eksempelet fra tidligere, der et frikonkurransemarked har følgende etterspørsel- og tilbudskurve.
Etterspørselskurve:

Tilbudskurve:

Vi har funnet ut at KO=1600 og PO=1600. Videre må vi avgjøre hva skatteinntektene består av.
Skatteinntekter = (Kjøperpris – Selgerpris) ⋅ Likevektsmengde
Skatteinntekter = (120-100) ⋅ 40
Skatteinntekter = 800
Det samfunnsøkonomiske overskuddet vil utgjøre konsumentoverskuddet, produsentoverskuddet og skatteinntektene
SO = KO + PO + Skatteinntekter
SO = 1600 + 1600 + 800
SO = 4000

Effektivitetstap ved stykkskatt
Som følge av stykkskatten som innføres, så vil det oppstå et effektivitetstap i markedet. Effektivitetstapet er tapet samfunnet lider ved at stykkskatten innføres. Effektivitetstapet utgjør differansen mellom hva det samfunnsøkonomiske overskuddet i markedet hadde vært dersom stykkskatten ikke er der, og det samfunnsøkonomiske overskuddet når det foreligger stykkskatt.

Vi ser igjen på eksempelet fra tidligere, der et frikonkurransemarked har følgende etterspørsel- og tilbudskurve.
Etterspørselskurve:

Tilbudskurve:

Vi vet at det samfunnsøkonomiske overskuddet ved stykkskatt er 4000. Dersom det ikke hadde foreligget stykkskatt, ville det samfunnsøkonomiske overskuddet vært 4050. Differensen mellom disse vil utgjøre effektivitetstapet, altså det samfunnet taper på at stykkskatten innføres.

Ved å innføre stykkskatt får vi et effektivitetstap på 50.


Dersom du ønsker å lære mer om stykkskatt i frikonkurranse, så kan du sjekke ut mikroøkonomikurset.
Finn ditt Mikroøkonomi-fag tilpasset ditt studiested
SAM2
Mikroøkonomi – NHH
SØK 3520
Mikroøkonomi
MIO1100
Mikroøkonomi – Kristiania
SMØ1001, SMF2291, AE201615
Mikroøkonomi – NTNU
BØK265
Mikroøkonomi – UiS
SOK-1002
Mikroøkonomi – UiT
SØK1000, MIK2000
Mikroøkonomi – USN
BØA203
Mikroøkonomi 1 – HVL
ØKA1020, SSAM120, 3SAM120
Mikroøkonomi 1 – Høgskolen i Innlandet
SØK 1101
Mikroøkonomi 1 – Siviløkonom
ECON1210
Mikroøkonomi 1 – UiO
ØASØK1000
Mikroøkonomi I – OsloMet

