I dette innlegget skal vi introdusere betinget sannsynlighet, et viktig konsept i sannsynlighetsregning. Betinget sannsynlighet brukes til å beskrive avhengige hendelser, altså hvordan sannsynligheten for en hendelse påvirkes av at en annen hendelse har inntruffet. La oss dykke inn i hva betinget sannsynlighet er og hvordan vi kan beregne sannsynlighet når hendelser er avhengige.
Hva er betinget sannsynlighet?
Betinget sannsynlighet er sannsynligheten for at en hendelse A skjer gitt at en annen hendelse B allerede har skjedd. Dette betegnes som P(A|B), som leses som «sannsynligheten for A gitt B».

Eksempel på betinget sannsynlighet
La oss si at Ingrid og Hans deltar i et lotteri. Det er seks lodd, hvorav to gir gevinst. Ingrid kjøper først, og vi definerer hendelsene:
A: Ingrid vinner
B: Hans vinner
Sannsynligheten for at Ingrid vinner når hun kjøper et lodd er P(A)=2/6.
Hvis Ingrid vinner, er det fem lodd igjen, og ett av disse gir gevinst. Sannsynligheten for at Hans også vinner er da P(A)=1/5.
Hvis Ingrid ikke vinner, er det fortsatt fem lodd igjen, men to av disse gir gevinst. Sannsynligheten for at Hans vinner da er P(A)=2/5.
Avhengige hendelser
I eksempelet vårt er sannsynligheten for Hans vinner avhengig av om Ingrid vinner eller ikke. Når sannsynligheten for at en hendelse skjer påvirkes av at en annen hendelse har skjedd, sier vi at sannsynligheten er betinget. Hendelsene er avhengige.
Dersom sannsynligheten for en hendelse ikke påvirkes av en annen, er derimot hendelsene uavhengige.
Den generelle produktregelen
For å finne sannsynligheten for at begge de avhengige hendelsene A og B skjer, bruker vi den generelle produktregelen. Den ser slik ut:

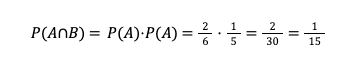
I eksempelet vårt:

Dette betyr at sannsynligheten for at både Ingrid og hans vinner er 115.
For å lære mer om sannsynlighet, kan du finne lærerike eksamenskurs i S1 utviklet av toppstudenter nedenfor!

