Delvis integrasjon er et av flere verktøy som brukes for å løse kompliserte integral. Denne teksten vil forhåpentligvis hjelpe deg med å forstå hva delvis integrasjon er og hvordan man skal bruke det!
Hva er delvis integrasjon?
Delvis integrasjon er som nevnt et verktøy man bruker i integrasjon. Det kan bli sett på som produktregelen for integrasjon. Når man deriverer bruker man produktregelen i uttrykk der man har to funksjoner multiplisert sammen, der begge inneholder x. Eller, at begge inneholder den variabelen man skal derivere med hensyn på. Delvis integrasjon gjør samme nytte når det kommer til integrasjon.
| Produktregelen for derivasjon |
|---|
| [f(x)⋅g(x)]´=f´(x)⋅g(x)+f(x)⋅g´(x) |
Formelen for delvis integrasjon
Formelen for delvis integrasjon er

… ikke veldig lett å forstå ved første øyekast! Vi kan bryte ned uttrykket ledd for ledd, for å gjøre det enklere.
Venstreside

Det første leddet, altså venstresiden, er integralet du får oppgitt. Får du oppgitt et integral som består av to funksjoner multiplisert sammen, der begge inneholder x, skal du late som det ene uttrykket er derivert. Dette kommer av at uttrykket for delvis integrasjon er en motsatt form av produktregelen i derivasjon. En forklaring på dette kan du se i denne videoen!
Høyreside

I første leddet på høyresiden, må du da multiplisere sammen den første funksjonen og integralet av den andre funksjonen. Grunnen til at du må ta integralet av den andre, i dette tilfellet g(x), er at på venstresiden står denne funksjonen som g´(x). Siden derivasjon og integrasjon er motsatte operasjoner, kan du integrere det deriverte uttrykket for å få g(x). Det vil si, ∫ g´(x)dx=g(x).
∫ f´(x)⋅g(x) dx
Det siste leddet er den deriverte av den første funksjonen, multiplisert med den andre funksjonen, og så tar man integralet av dette. Du må da starte med å derivere den første funksjonen, i dette tilfellet f(x), for å finne f´(x). Fra forrige ledd at du allerede funnet g(x), som integralet av den andre funksjonen. Multipliser sammen disse to, og regn ut integralet av dem.
Avslutt med å regne ut differansen av de to leddene på høyresiden, og du har løst integralet ved bruk av delvis integrasjon!
Tips til bruk av delvis integrasjon
Fra formelen for delvis integrasjon ser vi at det ene uttrykket må deriveres, mens det andre på integreres. f(x) måtte deriveres i siste ledd på høyresiden, og g(x) må integreres i begge ledd på høyresiden. Delvis integrasjon er derfor helt optimalt dersom den ene funksjonen er lett å derivere, mens det andre er lett å integrere! Og, selv om funksjonene står i en bestemt rekkefølge, går det an å bytte om på slik at de passer bedre til formelen. To tall multiplisert sammen gir samme resultat uansett hvilket som kommer først.
Er det vanskelig å se selv, kan man bruke følgende prioriteringsliste for å velge hva som skal være f(x) i formelen for delvis integrasjon.
Valg av f(x) i delvis integrasjon
Prioritert rekkefølge:
- ln(x)
- xa
- eax
Se på integralet ditt, og sett u til å være funksjonen lengst opp på listen for å gjøre det lettest mulig for deg selv. Består uttrykket av både ln(x) og eax, kan det da være lurt å velge f(x)=ln(x) og g(x)=eax.
Fortsatt litt skjelven med tanke på å bruke delvis integrasjon? Vi løser en oppgave for å illustrere det som er gjennomgått!
Oppgave med delvis integrasjon
Vi har integralet ∫ e-2x⋅xdx. Dette ser vi at er et integral med som består av to funksjoner med x, multiplisert sammen. Den første funksjonen er e-2x og den andre funksjonen er x.
Formelen for delvis integrasjon er:

e-2x er lett å integrere, mens x er lett å derivere. Vi ser da at de to funksjonene kommer i feil rekkefølge sammenlignet med formelen, fordi f(x) skal deriveres og g(x) skal integreres. Bytter derfor om på rekkefølgen av funksjonene i uttrykket, slik at vi får:

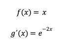
Setter da:

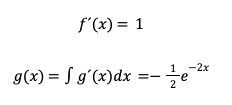
Som videre gir oss

Kan da sette inn for dette i formelen:

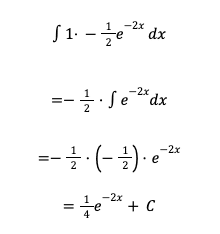
Regner ut integralet på høyresiden:

Setter inn for dette i uttrykket vi hadde:

Håper at du nå har bedre kontroll på delvis integrasjon enn det du hadde før du leste denne teksten! Husk at øvelse gjør mester, og den beste måten å bli god på å integrere er å gjøre oppgaver.
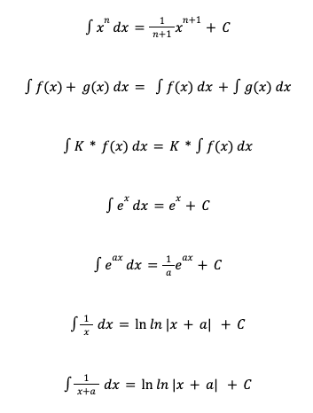
| Integrasjonsformler |
|---|
![]() |
Ønsker du å lære mer om integrasjon eller andre matematiske konsepter? Sjekk ut blogginnlegget vårt om integrasjon her, eller test ut vårt kurs i Matematikk S2 på VGS her. Du finner også flere kurs rettet mot videregående skole, og andre kurs innenfor matematikk ved å klikke på lenken nedenfor!


